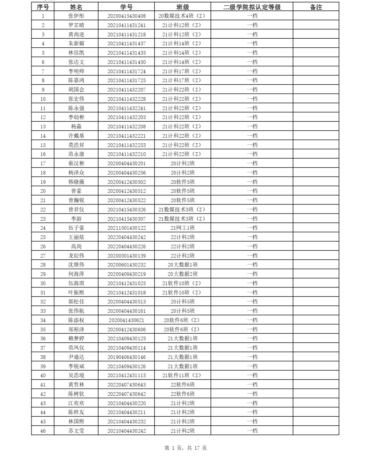
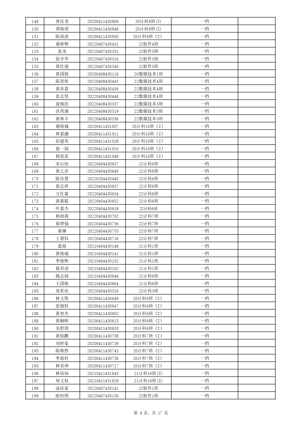
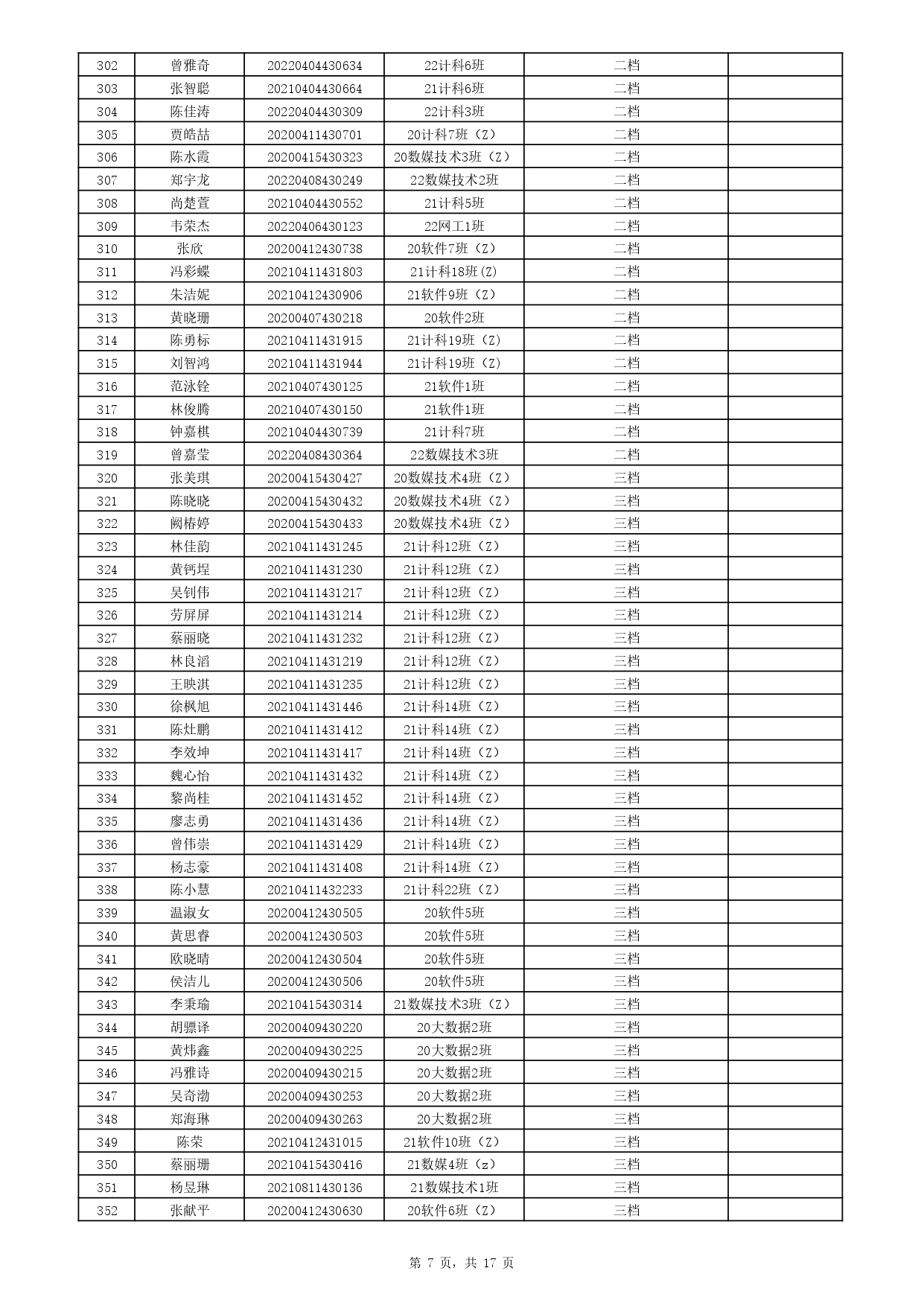
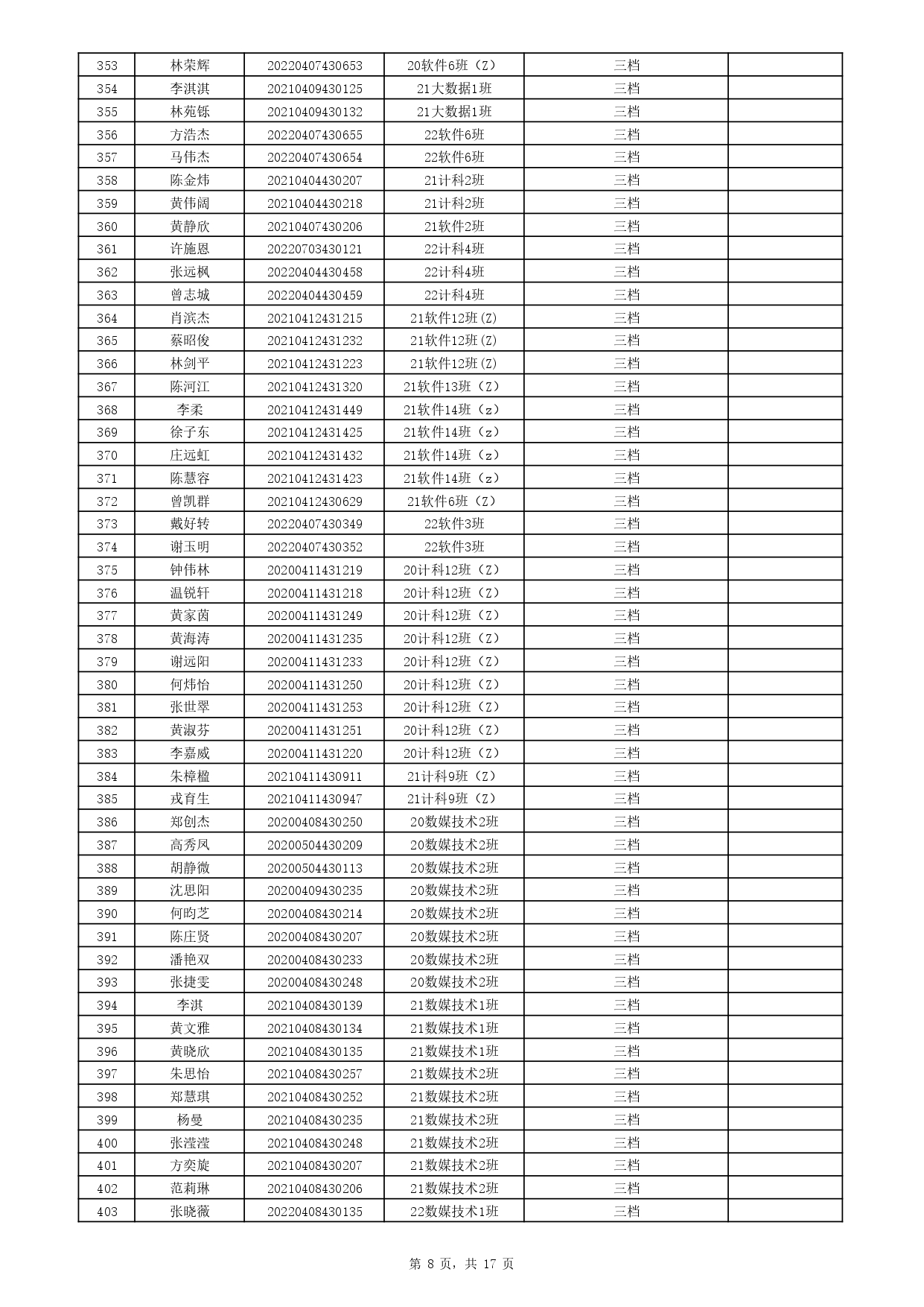
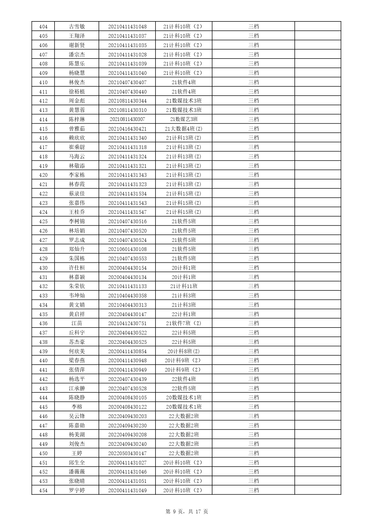
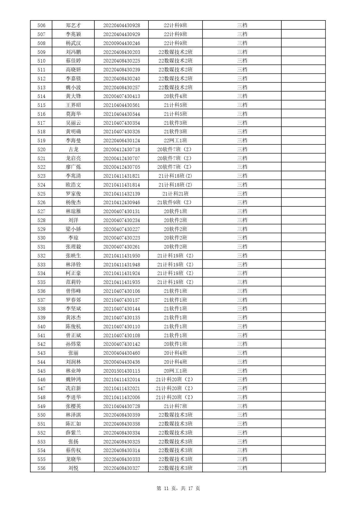
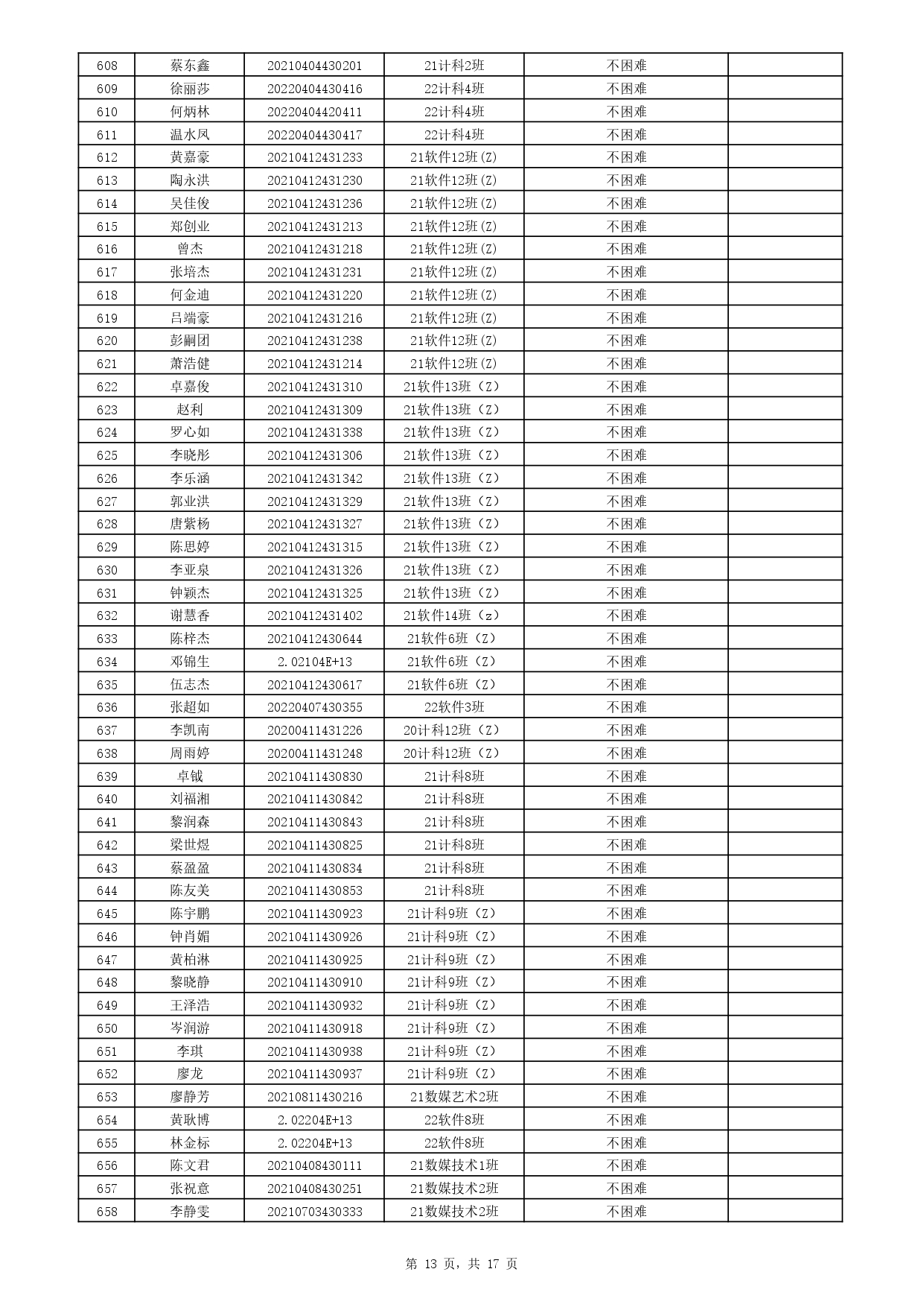
根据广东省教育厅及我校关于家庭经济困难学生认定的相关文件精神,按照公平、公正、公开的原则,经学生申请及班级、学院评审小组评议,现将开云kaiyun体育官方网站2023-2024学年家庭经济困难学生认定等级初审结果根据反馈修改再次予以公示,公示期为2023年9月25日至2023年9月29日。若对公示有异议,请以书面形式向以下受理部门反映,反映情况时请署名真实姓名和联系电话,不签署真实姓名或不提供具体事实材料的,将不予受理。
联系地址:信息楼309
联系人:胡佩
联系电话:020-87477070
邮箱:jsj@gzist.edu.cn

















开云(中国)Kaiyun·官方网站-登录入口 地址:11栋信息楼309
电话:020-39729803 邮编:510540